sampledoc

Table Of Contents

Previous topic

ANTS : Tests / Examples / Use-Cases

Next topic

ANTS : antsMath –label-overlap-measures : compare two image labels and produce a report in csv format

This Page

ANTS : antsBenchmarkTest : Benchmark Evaluation Demonstration

Usage

Demo of evaluation of one database with different sets of parameters
1. Combination test of different parameters
2. Execute tasks on different cluster nodes using temporary scripts
3. Generate one .csv file for each combination of parameters
4. Generate one .csv file for any specified metric over all tested parameters
5. Generate one .png file for any .csv files ( require R )
6. Generate corresponding webpage using sphinx
All input and output and random generated for demostration only. Users are required to fill in real testing binaries. 
Each permuted test will be written as a file of script. And each script will be dispatched to a specific node.


Important variables / functions in this perl script:

antsBenchmarkTest.pl $ANTSBINDIR $input_root $output_root $test_case_prefix   

$ANTSBINDIR : executable of ANTS
$input_root : input path root. For example, "/INPUT/ROOT"
$output_root : output path root. For example, "/OUTPUT/ROOT"
$test_case_prefix : define the prefix name for all tests. For example, "XXX" and each test will be named as "XXX_0", "XXX_1", etc.


$temp_execute_root = "$input_root/Script/tmp" : place to save temporary script generated. each node will execute a script as a task.


$global_para{test_case_prefix} : 
$global_para : define all path info.  

$test_para_combination : parameters for a permutation test, each array contains all possible options for one parameter.
$test_para_common : parameters NOT for a permutation test, fixed for all test. These will be copied to each test.
$test_para_misc : other fixed parameters for different test cases, for example you can define fixed parameters for some subgroup,
                  like fixed parameters for greedy SyN, or fixed parameters for exponential mapping. You can then define how to
                  copy these parameters for different cases.   


define_image_list() : define the image file names in a database to loop over.

define_task_list() : define how to execute tasks by image names. The first element is the node, the second is an aray 
                     of images for this node. For example:  
    my @task_list = ( [ 'compute-0-3.local', [ 'Apple', 'Banana', 'Pear' ] ] );
    push( @task_list, ( [ 'compute-0-6.local', [ 'Orange', 'Pineapple', 'Watermelon' ] ] ) );

%metric_function_list : hash defining all the evaluation metrics. For example:  
        PairwiseDistance     => [ \&read_metric_PairwiseDistance,     'PAIRWISE_DISTANCE_RESULT_FILE_APPENDIX' ],
        First is the function handle about how to read the metric from a file. Second is the output file name appendix 
        for this metric.
        
        
&generate_list_of_test_para : function defining how to permutate and assigning all parameters.        

&generate_name_of_test_case : function defining how to generate names for each test.

&execute_task_list_by_image : function defining how to assign each task, one image as one task, to computing nodes.

&collect_data_by_test_para: function defining how to collect all metrics by different tests. Each output .csv file is a 2D sheet: images X metrics

&collect_data_by_metric : function defining how to collect all metrics by different metrics. Each output .csv file is a 2D sheet: images X tests 

&generate_report_for_sphinx : function defining how to generate sphinx/RST script for html pages.



Benchmark setup

Database: @image_list

Apple
Orange
Banana
Pear
Pineapple
Watermelon

Test parameters combination: $test_para_combination

transformation_type_list [GreedySyN]
total_field_sigma_list [0]
DMMFD_points_list [4x4x4]
deformable_metric_type_list [CC]
regularization_type_list [Gauss]
gradient_sigma_list [0.0, 1.0, 2.0, 4.0, 8.0]

Test paramters common: $test_para_common

test_case_name UNDEFINED_TEST_CASE
deformable_iterations 200x200x200x200x50
use_recursive_gaussian false

Test paramters misc: $test_para_misc

gradient_step 0.25
exp_time_steps 8
radius 2
integration_delta 0.1
number_of_samples 50000
time_step 4

Global parameters: $global_para

original_lung_directory /INPUT/ROOT/image
temp_script_path_prefix /Users/stnava/code/temp/advants-code/bin/Testing/Benchmark/tmp_EvalDemoTest
test_case_prefix EvalDemoTest
registration_directory /Users/stnava/code/temp/advants-code/bin/Testing/Benchmark/Registration
registration_script /INPUT/ROOT/Script/e10_register.sh
original_mask_directory /INPUT/ROOT/lungMasks
evaluate_result_root /Users/stnava/code/temp/advants-code/bin/Testing/Benchmark/Evaluate

Simulated execution on various nodes:

  • compute-0-6.local => tmp_EvalDemoTestcompute-0-6.local.sh

    #$ -S /bin/bash
    bash /INPUT/ROOT/Script/e10_register.sh  CC[/INPUT/ROOT/image/Orange_Fixed.nii.gz,/INPUT/ROOT/image/Orange_Moving.nii.gz,1,2]  SyN[0.25]  Gauss[0.0,0]  200x200x200x200x50  /Users/stnava/code/temp/advants-code/bin/Testing/Benchmark/Registration/EvalDemoTest_0/Orange/EvalDemoTest_0_Orange
    bash /INPUT/ROOT/Script/e10_register.sh  CC[/INPUT/ROOT/image/Orange_Fixed.nii.gz,/INPUT/ROOT/image/Orange_Moving.nii.gz,1,2]  SyN[0.25]  Gauss[1.0,0]  200x200x200x200x50  /Users/stnava/code/temp/advants-code/bin/Testing/Benchmark/Registration/EvalDemoTest_1/Orange/EvalDemoTest_1_Orange
    bash /INPUT/ROOT/Script/e10_register.sh  CC[/INPUT/ROOT/image/Orange_Fixed.nii.gz,/INPUT/ROOT/image/Orange_Moving.nii.gz,1,2]  SyN[0.25]  Gauss[2.0,0]  200x200x200x200x50  /Users/stnava/code/temp/advants-code/bin/Testing/Benchmark/Registration/EvalDemoTest_2/Orange/EvalDemoTest_2_Orange
    bash /INPUT/ROOT/Script/e10_register.sh  CC[/INPUT/ROOT/image/Orange_Fixed.nii.gz,/INPUT/ROOT/image/Orange_Moving.nii.gz,1,2]  SyN[0.25]  Gauss[4.0,0]  200x200x200x200x50  /Users/stnava/code/temp/advants-code/bin/Testing/Benchmark/Registration/EvalDemoTest_3/Orange/EvalDemoTest_3_Orange
    bash /INPUT/ROOT/Script/e10_register.sh  CC[/INPUT/ROOT/image/Orange_Fixed.nii.gz,/INPUT/ROOT/image/Orange_Moving.nii.gz,1,2]  SyN[0.25]  Gauss[8.0,0]  200x200x200x200x50  /Users/stnava/code/temp/advants-code/bin/Testing/Benchmark/Registration/EvalDemoTest_4/Orange/EvalDemoTest_4_Orange
    bash /INPUT/ROOT/Script/e10_register.sh  CC[/INPUT/ROOT/image/Pineapple_Fixed.nii.gz,/INPUT/ROOT/image/Pineapple_Moving.nii.gz,1,2]  SyN[0.25]  Gauss[0.0,0]  200x200x200x200x50  /Users/stnava/code/temp/advants-code/bin/Testing/Benchmark/Registration/EvalDemoTest_0/Pineapple/EvalDemoTest_0_Pineapple
    bash /INPUT/ROOT/Script/e10_register.sh  CC[/INPUT/ROOT/image/Pineapple_Fixed.nii.gz,/INPUT/ROOT/image/Pineapple_Moving.nii.gz,1,2]  SyN[0.25]  Gauss[1.0,0]  200x200x200x200x50  /Users/stnava/code/temp/advants-code/bin/Testing/Benchmark/Registration/EvalDemoTest_1/Pineapple/EvalDemoTest_1_Pineapple
    bash /INPUT/ROOT/Script/e10_register.sh  CC[/INPUT/ROOT/image/Pineapple_Fixed.nii.gz,/INPUT/ROOT/image/Pineapple_Moving.nii.gz,1,2]  SyN[0.25]  Gauss[2.0,0]  200x200x200x200x50  /Users/stnava/code/temp/advants-code/bin/Testing/Benchmark/Registration/EvalDemoTest_2/Pineapple/EvalDemoTest_2_Pineapple
    bash /INPUT/ROOT/Script/e10_register.sh  CC[/INPUT/ROOT/image/Pineapple_Fixed.nii.gz,/INPUT/ROOT/image/Pineapple_Moving.nii.gz,1,2]  SyN[0.25]  Gauss[4.0,0]  200x200x200x200x50  /Users/stnava/code/temp/advants-code/bin/Testing/Benchmark/Registration/EvalDemoTest_3/Pineapple/EvalDemoTest_3_Pineapple
    bash /INPUT/ROOT/Script/e10_register.sh  CC[/INPUT/ROOT/image/Pineapple_Fixed.nii.gz,/INPUT/ROOT/image/Pineapple_Moving.nii.gz,1,2]  SyN[0.25]  Gauss[8.0,0]  200x200x200x200x50  /Users/stnava/code/temp/advants-code/bin/Testing/Benchmark/Registration/EvalDemoTest_4/Pineapple/EvalDemoTest_4_Pineapple
    bash /INPUT/ROOT/Script/e10_register.sh  CC[/INPUT/ROOT/image/Watermelon_Fixed.nii.gz,/INPUT/ROOT/image/Watermelon_Moving.nii.gz,1,2]  SyN[0.25]  Gauss[0.0,0]  200x200x200x200x50  /Users/stnava/code/temp/advants-code/bin/Testing/Benchmark/Registration/EvalDemoTest_0/Watermelon/EvalDemoTest_0_Watermelon
    bash /INPUT/ROOT/Script/e10_register.sh  CC[/INPUT/ROOT/image/Watermelon_Fixed.nii.gz,/INPUT/ROOT/image/Watermelon_Moving.nii.gz,1,2]  SyN[0.25]  Gauss[1.0,0]  200x200x200x200x50  /Users/stnava/code/temp/advants-code/bin/Testing/Benchmark/Registration/EvalDemoTest_1/Watermelon/EvalDemoTest_1_Watermelon
    bash /INPUT/ROOT/Script/e10_register.sh  CC[/INPUT/ROOT/image/Watermelon_Fixed.nii.gz,/INPUT/ROOT/image/Watermelon_Moving.nii.gz,1,2]  SyN[0.25]  Gauss[2.0,0]  200x200x200x200x50  /Users/stnava/code/temp/advants-code/bin/Testing/Benchmark/Registration/EvalDemoTest_2/Watermelon/EvalDemoTest_2_Watermelon
    bash /INPUT/ROOT/Script/e10_register.sh  CC[/INPUT/ROOT/image/Watermelon_Fixed.nii.gz,/INPUT/ROOT/image/Watermelon_Moving.nii.gz,1,2]  SyN[0.25]  Gauss[4.0,0]  200x200x200x200x50  /Users/stnava/code/temp/advants-code/bin/Testing/Benchmark/Registration/EvalDemoTest_3/Watermelon/EvalDemoTest_3_Watermelon
    bash /INPUT/ROOT/Script/e10_register.sh  CC[/INPUT/ROOT/image/Watermelon_Fixed.nii.gz,/INPUT/ROOT/image/Watermelon_Moving.nii.gz,1,2]  SyN[0.25]  Gauss[8.0,0]  200x200x200x200x50  /Users/stnava/code/temp/advants-code/bin/Testing/Benchmark/Registration/EvalDemoTest_4/Watermelon/EvalDemoTest_4_Watermelon
    
  • compute-0-3.local => tmp_EvalDemoTestcompute-0-3.local.sh

    #$ -S /bin/bash
    bash /INPUT/ROOT/Script/e10_register.sh  CC[/INPUT/ROOT/image/Apple_Fixed.nii.gz,/INPUT/ROOT/image/Apple_Moving.nii.gz,1,2]  SyN[0.25]  Gauss[0.0,0]  200x200x200x200x50  /Users/stnava/code/temp/advants-code/bin/Testing/Benchmark/Registration/EvalDemoTest_0/Apple/EvalDemoTest_0_Apple
    bash /INPUT/ROOT/Script/e10_register.sh  CC[/INPUT/ROOT/image/Apple_Fixed.nii.gz,/INPUT/ROOT/image/Apple_Moving.nii.gz,1,2]  SyN[0.25]  Gauss[1.0,0]  200x200x200x200x50  /Users/stnava/code/temp/advants-code/bin/Testing/Benchmark/Registration/EvalDemoTest_1/Apple/EvalDemoTest_1_Apple
    bash /INPUT/ROOT/Script/e10_register.sh  CC[/INPUT/ROOT/image/Apple_Fixed.nii.gz,/INPUT/ROOT/image/Apple_Moving.nii.gz,1,2]  SyN[0.25]  Gauss[2.0,0]  200x200x200x200x50  /Users/stnava/code/temp/advants-code/bin/Testing/Benchmark/Registration/EvalDemoTest_2/Apple/EvalDemoTest_2_Apple
    bash /INPUT/ROOT/Script/e10_register.sh  CC[/INPUT/ROOT/image/Apple_Fixed.nii.gz,/INPUT/ROOT/image/Apple_Moving.nii.gz,1,2]  SyN[0.25]  Gauss[4.0,0]  200x200x200x200x50  /Users/stnava/code/temp/advants-code/bin/Testing/Benchmark/Registration/EvalDemoTest_3/Apple/EvalDemoTest_3_Apple
    bash /INPUT/ROOT/Script/e10_register.sh  CC[/INPUT/ROOT/image/Apple_Fixed.nii.gz,/INPUT/ROOT/image/Apple_Moving.nii.gz,1,2]  SyN[0.25]  Gauss[8.0,0]  200x200x200x200x50  /Users/stnava/code/temp/advants-code/bin/Testing/Benchmark/Registration/EvalDemoTest_4/Apple/EvalDemoTest_4_Apple
    bash /INPUT/ROOT/Script/e10_register.sh  CC[/INPUT/ROOT/image/Banana_Fixed.nii.gz,/INPUT/ROOT/image/Banana_Moving.nii.gz,1,2]  SyN[0.25]  Gauss[0.0,0]  200x200x200x200x50  /Users/stnava/code/temp/advants-code/bin/Testing/Benchmark/Registration/EvalDemoTest_0/Banana/EvalDemoTest_0_Banana
    bash /INPUT/ROOT/Script/e10_register.sh  CC[/INPUT/ROOT/image/Banana_Fixed.nii.gz,/INPUT/ROOT/image/Banana_Moving.nii.gz,1,2]  SyN[0.25]  Gauss[1.0,0]  200x200x200x200x50  /Users/stnava/code/temp/advants-code/bin/Testing/Benchmark/Registration/EvalDemoTest_1/Banana/EvalDemoTest_1_Banana
    bash /INPUT/ROOT/Script/e10_register.sh  CC[/INPUT/ROOT/image/Banana_Fixed.nii.gz,/INPUT/ROOT/image/Banana_Moving.nii.gz,1,2]  SyN[0.25]  Gauss[2.0,0]  200x200x200x200x50  /Users/stnava/code/temp/advants-code/bin/Testing/Benchmark/Registration/EvalDemoTest_2/Banana/EvalDemoTest_2_Banana
    bash /INPUT/ROOT/Script/e10_register.sh  CC[/INPUT/ROOT/image/Banana_Fixed.nii.gz,/INPUT/ROOT/image/Banana_Moving.nii.gz,1,2]  SyN[0.25]  Gauss[4.0,0]  200x200x200x200x50  /Users/stnava/code/temp/advants-code/bin/Testing/Benchmark/Registration/EvalDemoTest_3/Banana/EvalDemoTest_3_Banana
    bash /INPUT/ROOT/Script/e10_register.sh  CC[/INPUT/ROOT/image/Banana_Fixed.nii.gz,/INPUT/ROOT/image/Banana_Moving.nii.gz,1,2]  SyN[0.25]  Gauss[8.0,0]  200x200x200x200x50  /Users/stnava/code/temp/advants-code/bin/Testing/Benchmark/Registration/EvalDemoTest_4/Banana/EvalDemoTest_4_Banana
    bash /INPUT/ROOT/Script/e10_register.sh  CC[/INPUT/ROOT/image/Pear_Fixed.nii.gz,/INPUT/ROOT/image/Pear_Moving.nii.gz,1,2]  SyN[0.25]  Gauss[0.0,0]  200x200x200x200x50  /Users/stnava/code/temp/advants-code/bin/Testing/Benchmark/Registration/EvalDemoTest_0/Pear/EvalDemoTest_0_Pear
    bash /INPUT/ROOT/Script/e10_register.sh  CC[/INPUT/ROOT/image/Pear_Fixed.nii.gz,/INPUT/ROOT/image/Pear_Moving.nii.gz,1,2]  SyN[0.25]  Gauss[1.0,0]  200x200x200x200x50  /Users/stnava/code/temp/advants-code/bin/Testing/Benchmark/Registration/EvalDemoTest_1/Pear/EvalDemoTest_1_Pear
    bash /INPUT/ROOT/Script/e10_register.sh  CC[/INPUT/ROOT/image/Pear_Fixed.nii.gz,/INPUT/ROOT/image/Pear_Moving.nii.gz,1,2]  SyN[0.25]  Gauss[2.0,0]  200x200x200x200x50  /Users/stnava/code/temp/advants-code/bin/Testing/Benchmark/Registration/EvalDemoTest_2/Pear/EvalDemoTest_2_Pear
    bash /INPUT/ROOT/Script/e10_register.sh  CC[/INPUT/ROOT/image/Pear_Fixed.nii.gz,/INPUT/ROOT/image/Pear_Moving.nii.gz,1,2]  SyN[0.25]  Gauss[4.0,0]  200x200x200x200x50  /Users/stnava/code/temp/advants-code/bin/Testing/Benchmark/Registration/EvalDemoTest_3/Pear/EvalDemoTest_3_Pear
    bash /INPUT/ROOT/Script/e10_register.sh  CC[/INPUT/ROOT/image/Pear_Fixed.nii.gz,/INPUT/ROOT/image/Pear_Moving.nii.gz,1,2]  SyN[0.25]  Gauss[8.0,0]  200x200x200x200x50  /Users/stnava/code/temp/advants-code/bin/Testing/Benchmark/Registration/EvalDemoTest_4/Pear/EvalDemoTest_4_Pear
    

Simulated tests

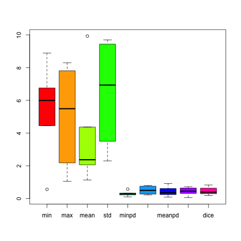
  • EvalDemoTest_0

    EvalDemoTest_0
    test_case_name => EvalDemoTest_0
    regularization => Gauss[0.0,0]
    deformable_iterations => 200x200x200x200x50
    deformable_metric => CC[FIXIMAGE,MOVIMAGE,1,2]
    use_recursive_gaussian => false
    transformation => SyN[0.25]
    

    EvalDemoTest_0_eval.readme

    EvalDemoTest_0

    image_name

    min

    max

    mean

    std

    minpd

    maxpd

    meanpd

    stdpd

    dice

    Apple

    4.45

    8.3

    2.54

    9.7

    0.33

    0.8

    0.41

    0.42

    0.47

    Orange

    6.08

    1.05

    2.2

    6.13

    0.25

    0.27

    0.61

    0.31

    0.29

    Banana

    8.89

    7.81

    9.93

    2.3

    0.1

    0.75

    0.09

    0.72

    0.83

    Pear

    6.76

    2.18

    2.06

    9.44

    0.57

    0.22

    0.29

    0.05

    0.3

    Pineapple

    5.91

    6.77

    1.13

    7.74

    0.3

    0.58

    0.24

    0.64

    0.18

    Watermelon

    0.56

    4.21

    4.37

    3.5

    0.22

    0.41

    0.92

    0.47

    0.63

    EvalDemoTest_0_eval.csv

    EvalDemoTest_0

    EvalDemoTest_0.png

  • EvalDemoTest_1

    EvalDemoTest_1
    test_case_name => EvalDemoTest_1
    regularization => Gauss[1.0,0]
    deformable_iterations => 200x200x200x200x50
    deformable_metric => CC[FIXIMAGE,MOVIMAGE,1,2]
    use_recursive_gaussian => false
    transformation => SyN[0.25]
    

    EvalDemoTest_1_eval.readme

    EvalDemoTest_1

    image_name

    min

    max

    mean

    std

    minpd

    maxpd

    meanpd

    stdpd

    dice

    Apple

    7.17

    2.41

    4.87

    2.15

    0.27

    0.58

    0.57

    0.31

    0.26

    Orange

    7.97

    1.38

    1.36

    8.72

    0.34

    0.5

    0.09

    0.29

    0.88

    Banana

    3.41

    2.06

    0.94

    0.83

    0.7

    0.35

    0.95

    0.39

    0.48

    Pear

    0.49

    8.02

    4.01

    2.07

    0.77

    0.34

    0.69

    0.08

    0.83

    Pineapple

    9.31

    7.15

    2.79

    2.04

    0.25

    0.04

    0.9

    0.2

    0.13

    Watermelon

    7.36

    6.3

    5.33

    0.42

    0.66

    0.59

    0.66

    0.56

    0.52

    EvalDemoTest_1_eval.csv

    EvalDemoTest_1

    EvalDemoTest_1.png

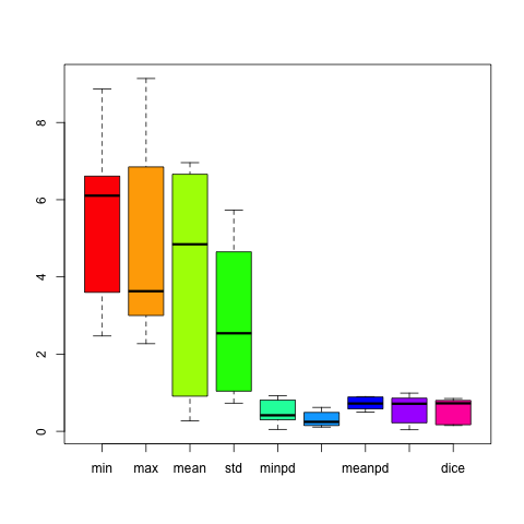
  • EvalDemoTest_2

    EvalDemoTest_2
    test_case_name => EvalDemoTest_2
    regularization => Gauss[2.0,0]
    deformable_iterations => 200x200x200x200x50
    deformable_metric => CC[FIXIMAGE,MOVIMAGE,1,2]
    use_recursive_gaussian => false
    transformation => SyN[0.25]
    

    EvalDemoTest_2_eval.readme

    EvalDemoTest_2

    image_name

    min

    max

    mean

    std

    minpd

    maxpd

    meanpd

    stdpd

    dice

    Apple

    3.6

    2.27

    5.68

    1.04

    0.81

    0.34

    0.82

    0.22

    0.71

    Orange

    6.6

    9.14

    6.66

    2.15

    0.92

    0.62

    0.9

    0.04

    0.74

    Banana

    5.61

    4.24

    4.01

    4.65

    0.3

    0.11

    0.62

    0.99

    0.85

    Pear

    8.87

    3

    0.27

    0.73

    0.05

    0.49

    0.5

    0.78

    0.17

    Pineapple

    6.61

    6.85

    0.91

    2.93

    0.31

    0.15

    0.58

    0.86

    0.8

    Watermelon

    2.47

    3.02

    6.96

    5.73

    0.52

    0.15

    0.89

    0.65

    0.15

    EvalDemoTest_2_eval.csv

    EvalDemoTest_2

    EvalDemoTest_2.png

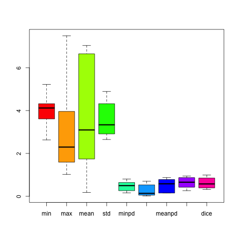
  • EvalDemoTest_3

    EvalDemoTest_3
    test_case_name => EvalDemoTest_3
    regularization => Gauss[4.0,0]
    deformable_iterations => 200x200x200x200x50
    deformable_metric => CC[FIXIMAGE,MOVIMAGE,1,2]
    use_recursive_gaussian => false
    transformation => SyN[0.25]
    

    EvalDemoTest_3_eval.readme

    EvalDemoTest_3

    image_name

    min

    max

    mean

    std

    minpd

    maxpd

    meanpd

    stdpd

    dice

    Apple

    4.32

    1.59

    3.01

    3.09

    0.16

    0.01

    0.44

    0.42

    0.85

    Orange

    3.61

    3.96

    7.04

    4.32

    0.64

    0.05

    0.15

    0.77

    0.99

    Banana

    4.11

    1.87

    3.18

    3.58

    0.26

    0.06

    0.72

    0.54

    0.39

    Pear

    2.63

    1.02

    1.74

    4.89

    0.8

    0.53

    0.87

    0.87

    0.39

    Pineapple

    5.22

    7.49

    6.65

    2.91

    0.64

    0.7

    0.78

    0.94

    0.32

    Watermelon

    4.13

    2.72

    0.18

    2.65

    0.35

    0.21

    0.15

    0.26

    0.76

    EvalDemoTest_3_eval.csv

    EvalDemoTest_3

    EvalDemoTest_3.png

  • EvalDemoTest_4

    EvalDemoTest_4
    test_case_name => EvalDemoTest_4
    regularization => Gauss[8.0,0]
    deformable_iterations => 200x200x200x200x50
    deformable_metric => CC[FIXIMAGE,MOVIMAGE,1,2]
    use_recursive_gaussian => false
    transformation => SyN[0.25]
    

    EvalDemoTest_4_eval.readme

    EvalDemoTest_4

    image_name

    min

    max

    mean

    std

    minpd

    maxpd

    meanpd

    stdpd

    dice

    Apple

    0.82

    5.57

    8.65

    6.27

    0.59

    0.44

    0.79

    0.78

    0.53

    Orange

    6.49

    3.02

    6.77

    6.94

    0.99

    0.82

    0.07

    0.07

    0.02

    Banana

    3.54

    8.02

    4.69

    5.1

    0.71

    0.08

    0.86

    0.97

    0.48

    Pear

    1.46

    2.26

    0.91

    5.09

    0.09

    0.43

    0.96

    0.42

    0.84

    Pineapple

    0.76

    8.13

    2.26

    9

    0.93

    0.9

    0.54

    0.79

    0.12

    Watermelon

    2.84

    2.24

    0.31

    4.48

    0.71

    0.12

    0.04

    0.76

    0.38

    EvalDemoTest_4_eval.csv

    EvalDemoTest_4

    EvalDemoTest_4.png

Comparison of all test parameters:

FirstOrderStatistics-mean

FirstOrderStatistics-mean
image_name EvalDemoTest_0 EvalDemoTest_1 EvalDemoTest_2 EvalDemoTest_3 EvalDemoTest_4
Apple 7.39 0.5 5.99 7.39 3.97
Orange 9.71 2.96 0.68 7.23 0.93
Banana 3.63 0.96 9.28 0.07 3.84
Pear 1.9 1.76 5.45 1.97 8.91
Pineapple 9.1 0.71 0.92 8.48 1.08
Watermelon 2.13 4.94 1.47 9.15 2.53

FirstOrderStatistics_mean_eval.csv

FirstOrderStatistics-mean

FirstOrderStatistics_mean_eval.png